RSI(Relative Strength Index, 상대강도지수)는 주식 및 가상자산 투자에서 많이 활용되는 기술적 지표입니다. RSI를 활용하면 과매수·과매도 구간을 파악하여 매매 타이밍을 잡는 데 도움을 받을 수 있습니다.

상대강도지수(RSI, Relative Strength Index)란 무엇인가?
상대강도지수(Relative Strength Index, RSI)란?
RSI(Relative Strength Index, 상대강도지수)는 기술적 분석에서 널리 사용되는 오실레이터 지표로, 가격의 상승과 하락 강도를 비교하여 과매수(overbought)와 과매도(oversold) 상태를 판단하는 데 도움을 줍니다. 주로 0~100 사이의 값으로 표시되며, 특정 임계값(일반적으로 70 이상 과매수, 30 이하 과매도)을 기준으로 매매 신호를 분석합니다.
1. RSI 계산법
RSI는 일정 기간 동안 상승한 가격 변동과 하락한 가격 변동을 비교하여 계산됩니다. 가장 일반적으로 사용되는 기간은 14일입니다. 계산 공식은 다음과 같습니다.

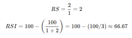
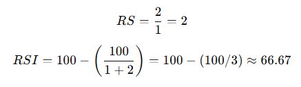
여기서 RS (Relative Strength)는 다음과 같이 계산됩니다.

예를 들어, 14일간 평균 상승폭이 2이고 평균 하락폭이 1이라면,

이 값을 바탕으로 70 이상이면 과매수, 30 이하이면 과매도로 간주하는 것이 일반적입니다.
2. 과매수 및 과매도 수준

① 과매수(Overbought)
RSI 값이 70을 초과하면 해당 종목이 단기적으로 과매수 상태에 있다고 판단됩니다. 이는 상승세가 강하지만 조정이 올 가능성이 크다는 신호로 해석됩니다.
과매수 시 주의할 점:
- 단순히 RSI가 70 이상이라고 해서 반드시 하락하는 것은 아닙니다.
- 강한 상승장에서는 RSI가 70을 초과한 상태에서 더 오를 수도 있습니다.
② 과매도(Oversold)
RSI 값이 30 미만이면 과매도 상태로 간주됩니다. 이는 주가가 단기적으로 과도하게 하락했으며 반등 가능성이 있음을 나타냅니다.
과매도 시 주의할 점:
- RSI가 30 아래로 내려간다고 해서 무조건 반등하는 것은 아닙니다.
- 하락 추세가 강할 경우 RSI가 30 이하에서도 계속 하락할 수 있습니다.
3. RSI와 가격 다이버전스

RSI를 활용한 대표적인 분석 기법 중 하나는 다이버전스(divergence)입니다. 다이버전스는 가격과 RSI의 움직임이 서로 반대 방향으로 움직일 때 발생합니다.
① 상승 다이버전스(Bullish Divergence)
- 가격은 저점을 낮추지만 RSI는 저점을 높일 때 발생합니다.
- 이는 하락세가 약해지고 상승 반전 가능성이 있음을 시사합니다.
- 보통 매수 신호로 해석됩니다.
② 하락 다이버전스(Bearish Divergence)
- 가격은 고점을 높이지만 RSI는 고점을 낮출 때 발생합니다.
- 이는 상승세가 약해지고 하락 반전 가능성이 있음을 시사합니다.
- 보통 매도 신호로 해석됩니다.
다이버전스 활용 시 주의할 점:
- 다이버전스가 발생했다고 해서 반드시 가격이 반전되는 것은 아닙니다.
- 거래량, 캔들 패턴 등의 추가적인 분석이 필요합니다.
4. RSI 활용 투자 전략
① RSI 30·70 매매 전략
- RSI가 30 이하일 때 매수, 70 이상일 때 매도하는 단순한 전략입니다.
- 단기적으로 과매수·과매도 상태를 이용한 전략이므로, 보조지표와 함께 활용하는 것이 좋습니다.
② RSI 중간값(50) 활용
- RSI가 50을 돌파할 때 상승 또는 하락 추세를 판단할 수 있습니다.
- 50 이상이면 상승세가 강함, 50 이하이면 하락세가 강함을 의미합니다.
③ 다이버전스 활용 전략
- 상승 다이버전스 발생 시 분할 매수 전략을 활용할 수 있습니다.
- 하락 다이버전스 발생 시 일부 이익 실현 후 손절가 설정이 가능합니다.
④ 이동평균선과 RSI 조합
- RSI가 30 이하일 때, 이동평균선(예: 20일선, 60일선) 근처에서 반등하는지 확인하면 신뢰도를 높일 수 있습니다.
결론
RSI는 과매수 및 과매도 수준을 파악하는 데 유용한 기술적 지표로, 투자자들이 매매 타이밍을 결정하는 데 도움을 줍니다. 하지만 RSI 신호만으로 매매 결정을 내리는 것은 위험할 수 있으므로, 이동평균선, 거래량, 다이버전스 등 다양한 보조 지표와 함께 활용하는 것이 중요합니다. RSI를 적절히 활용하면 보다 효율적인 투자 전략을 수립할 수 있습니다.
댓글